小猪视频免费下载高清,小猪视频在线观看下载免费污,小猪视频APP成人播放,小猪视频污APP色版苹果下载

    EN中文English
    020-32583997
    13825089207

    学起来,医院都在用的臭氧消毒

    发布日期:2021-05-28

    您还在为小猪视频在线观看下载免费污过滤、消毒等问题烦恼吗?点击免费咨询,一对一为您答疑解惑。

    关于臭氧

    2020年6月4日,中央主流新闻媒体《科技日报》刊登重磅报道:臭氧能灭活新冠病毒可用于消毒。报道主要内容如下:日本奈良县立医科大学与日本MBT(感染症部会会员企业)联盟组成的研究小组于全球首次确认,臭氧气体可以灭活新冠病毒。此外,还通过实验明确了灭活条件,从科学角度证明了其实用性。

    科技日报报导臭氧可以灭活新冠病毒可用于消毒

    报道发布之后,新浪网、光明网、学习强国等网站进行了转载,极大促进民众正确认识臭氧价值。

    而在近日,中国臭氧产业联合会技术委员会专家、“国家P3实验室”主任李泽琳教授主持了利用臭氧进行灭活SARS病毒的实验,实验中对绿猴肾细胞接种的SARS病毒综合灭活率为99.22%,而且经过三次重复实验,都达到很高的灭活效率。这说明,臭氧杀菌非常广谱且强效。

    关于臭氧消毒的报道

    我国卫生部门颁布的法规中对臭氧的杀菌作用就作了明确的肯定:臭氧是一种广谱杀菌剂,它可杀灭细菌繁殖体和芽胞、病毒、真菌等,可破坏肉毒杆菌毒素。

    近年来,臭氧行业越来越迅速,应用领域不断拓展,尤其是水处理领域,市场需求量不断扩大,可以说已经达到了近几十年来的行业高峰。在我国政府对抗新冠疫情的《通知》*1中也提到,新冠肺炎的医疗污水,都可以加投臭氧进行消毒处理。

    在小猪视频在线观看下载免费污水处理领域,由于臭氧消毒能高速和高效地杀灭病菌和病毒,消除囊孢,氧化许多种有机化合物,而且臭氧分解后的唯一产物是氧,无残留,无污染,不产生有毒消毒副产物等诸多优点逐渐受到人们的重视。


    臭氧设备选配

    那么臭氧消毒投加系统的组成及要求是怎么样的呢?下面小猪视频免费下载高清就一起来看一下。

    臭氧投加系统由下列各部分组成:

    臭氧投加系统组成

    ①臭氧发生器;②增压水泵;③射流器(臭氧注射器);④在线管道混合器;⑤臭氧反应罐;⑥残余臭氧消除器(如活性炭吸附罐等);⑦各类管道、阀门、仪表等。

    1、臭氧发生器

    小猪视频免费下载高清AO系列臭氧发生器

    一般常用的制备臭氧方法有紫外线辐射法、化学电解法、电晕放电法等,而电晕放电法因其高效率、低能耗的特点而被广泛应用。知名水处理品牌AQUA小猪视频免费下载高清的臭氧发生器就是采用电晕放电法。

    ⑴ 紫外线辐射法比较简单,但臭氧浓度较低,不超过150㎎/m³,约为先进的氧气法臭氧发生器的1%;产量较小3,不宜用于池水消毒。

    ⑵ 化学电解法是利用高纯水通过电解作氧源,但由于耗电量大,运行费用高,技术要求高,工艺也尚未成熟,所以未能得到推广。

    ⑶ 电晕放电法就是将干燥的(露点-60℃以下)空气(含氧气21%)或富氧气体(含氧90%左右),通过高能电场和介质放电间隙,使氧气被电离成氧原子,与氧分子碰撞形成臭氧。电晕放电法所产生的臭氧可以通过发生电源和进气量进行控制,但在实际使用过程中,是通过发生器启停来控制的。

    2. 臭氧气体投加位置

    小猪视频免费下载高清QHW系列臭氧发生器

    臭氧应采用负压方式进行投加,以防泄露。为确保安全这一要求,在行业标准《游小猪视频在线观看下载免费污给水排水工程技术规程》CJJ 122-2017中规定,加压水泵与文丘里喷嘴应相互匹配,确保将臭氧全部送入水中。为此,具体规格应由生产厂商根据水量、臭氧投加量计算确定。

    3.臭氧浓度及投加量

    小猪视频免费下载高清不锈钢臭氧

    (1)《游小猪视频在线观看下载免费污给水排水工程技术规程》CJJ 122--2017规定公共游小猪视频在线观看下载免费污应按池水循环水量计算。

    (2) 臭氧投加采用全流量半程式臭氧消毒时,按臭氧投加量为0.8~1.2mg/L。如投加在过滤设备之后的循环水管道内时,宜选用下限值;如投加在过滤设备之前的循环水管道内时,宜选用上限值。

    (3) 臭氧采用分流量全程式臭氧消毒系统,按臭氧投加量为0.4~0.6mg/L进行计算。如为专用类小猪视频在线观看下载免费污可选用下限值,如为公共类小猪视频在线观看下载免费污可选用上限值,而且分流量水量不应小于池水循环流量的25%。

    4.反应罐

    小猪视频免费下载高清臭氧反应罐

    反应罐就是为溶解的臭氧氧化有机物和无机物并对水进行杀菌消毒提供足够相互接触所需要求时间的容器,所以,反应罐的容积应保证接触时间需要,以便使臭氧在水中更能有效地溶解,并与污物充分发生反应。

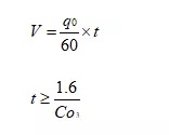
    独立反应罐的大小可按下式计算:

    计算公式

    式中V--反应罐的有效容积(m³)

    q0-进入反应罐的池水循环流量(m³/h),按下列规定取值:

    全流量臭氧消毒系统:q0 为池水的循环流量;

    分流量臭氧消毒系统:q0 最少取池水循环流量的25%;

    t-臭氧与被消毒水接触反应所需最少时间(min);

    CO3-臭氧浓度(㎎/L),按下列规定取值:

    全流量半程式臭氧消毒系统:CO3=0.8 ~ 1.0㎎/L;

    全流量和分流量全程式臭氧消毒系统:CO3=0.4 ~ 0.6㎎/L。

    本计算公式为美国环保局(EPA)和美国国家职业安全和卫生管理局(OSHA)提供的实验公式,实践证明,该公式能反应出臭氧消毒的有效性。在游小猪视频在线观看下载免费污池水消毒领域已被广泛接受。

    5.活性炭吸附过滤器

    吸附罐

    活性炭在水净化处理中主要用于除臭、除味、脱色和吸附有毒物质。设置活性炭吸附过滤器,将进入游小猪视频在线观看下载免费污之前的水中 臭氧进行吸附脱除,这是比较传统的做法。《游小猪视频在线观看下载免费污给水排水工程技术规程》CJJ 122--2017中规定,凡采用全流量臭氧消毒系统,在臭氧反应罐之后应增设多余臭氧吸附器这一工序设备,将池水中多余的臭氧吸附掉,以防止过量的臭氧进入小猪视频在线观看下载免费污。

    ⑴在游小猪视频在线观看下载免费污水出炉系统中,活性炭吸附过滤器为密闭式压力容器,为保证安全运行,外壳及内部组建耐压等级不应低于池水净化处理系统1.5倍的工作压力。

    ⑵外壳可采用不锈钢或其他耐臭氧氧化材质的密闭式压力容器。

    ⑶内部布水、配水组件等可用耐臭氧氧化耐压非金属材质。

    6.臭氧设备选配小结

    游小猪视频在线观看下载免费污是多人反复使用的水娱乐场所,它的设计应设有完善的小猪视频在线观看下载免费污水净化、消毒设施,使其水质达到《游泳场所卫生标准》、《生活饮用水卫生标准》、《游小猪视频在线观看下载免费污给水排水设计规范》等国家有关标准。而臭氧消毒系统无疑是小猪视频在线观看下载免费污理想的选择,它不仅杀菌广谱、快速,水处理效果好,还可以降低化学药品危害减少其他化学药品用量,大幅度降低小猪视频在线观看下载免费污运行成本。


    臭氧发生器安装要点

    1、臭氧发生器基础高度应不小于100mm,水平尺寸应每边大于箱体尺寸50~100mm。

    2、臭氧发生器面板前操作通道至少宽1000mm,净高2000mm,其余三面至少有一条宽为500mm的维修通道,机房高度至少要求2200mm。

    3、安装臭氧发生器的机房应通风良好,保证温度和湿度不超过臭氧发生器正常工作时的要求。

    4、安装臭氧发生器的机房应安装臭氧探测装置,当空气中的臭氧浓度超标时应报警并关闭臭氧发生器。

    5、使用臭氧发生器(系统)的游小猪视频在线观看下载免费污水处理系统应在游小猪视频在线观看下载免费污边设置空气中的臭氧浓度监测系统。

    6、臭氧发生器应有保护接地措施。

    好了,今天关于小猪视频在线观看下载免费污臭氧消毒的知识就介绍到这里,你都学会了吗?


    PS: 以上产品均为AQUA小猪视频免费下载高清品牌旗下的小猪视频在线观看下载免费污水处理消毒设备,如需咨询请登录AQUA小猪视频免费下载高清小猪视频在线观看下载免费污设备销售中心官网(http://www.dgdongwon.com)或直接拨打客服热线020-32583997,AQUA小猪视频免费下载高清期待您的光临。

    • 020-32583997
    网站地图